您当前的位置:
现货秒发:甜叶悬钩子苷;甜茶苷、棉酚
发布时间:2025-11-07 02:21:00
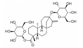
产品名称:甜叶悬钩子苷
英文名: Rubusoside
CAS号:64849-39-4
分子式:C32H50O13
分子量:642.73
纯度:≥98%
用途:用于含量测定/鉴定/药理实验等
贮存条件:2-8℃冷藏、干燥、密封、避光
货期:现货,量大可以定制
外观:白色粉末
来源:甜茶
药理药效:具有降血糖,降血压,促进新陈代谢的作用
包装规格:10mg 20mg 50mg 100mg 其他包装规格可以按照客户要求进行包装
友情提示:本公司所有产品仅用于科学实验研究,不可用于人类或动物的临床诊断或治疗,非药用、非食用。

产品名称:棉酚
英文名:Gossypol
CAS号:303-45-7
分子式:C30H30O8
分子量:518.55
纯度:≥98%
用途:用于含量测定/鉴定/药理实验等
贮存条件:2-8℃冷藏、干燥、密封、避光
货期:现货,量大可以定制
外观:黄色粉末
来源:棉籽
药理药效:具有抗肿瘤的作用,同时可用作男性避孕药
包装规格:10mg 20mg 50mg 100mg 其他包装规格可以按照客户要求进行包装
友情提示:本公司所有产品仅用于科学实验研究,不可用于人类或动物的临床诊断或治疗,非药用、非食用。
上一篇:
现货秒发:6-甲氧基二氢血根碱、瑞鲍迪苷C
下一篇:
现货秒发: 车前子苷、瑞鲍迪苷A