现货秒发:苦杏仁苷、黄芩苷、红景天苷
发布时间:2024-12-06 04:58:00
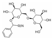
产品名称: 苦杏仁苷
中文别名: 扁桃苷
英文名: Amygdalin
英文别名: Nitrilosides
CAS号: 29883-15-6
分子式: C20H27NO11
分子量: 457.43
纯度: ≥ 98%
用途: 用于含量测定/鉴定/药理实验等。
提取来源: 蔷薇科植物东北苦杏仁的干燥成熟的种子。
溶解性: 易溶于沸水,几乎不溶于乙醚。
药理药效: 苦杏仁苷有控制及预防癌症的作用。
贮存条件: 2-8℃冷藏、干燥、密封、避光
货期: 现货,量大可以定制
包装规格:做我客户我宠你,你说怎么装就怎么装。

产品名称: 黄芩苷
中文别名: 黄芩甙,贝加灵
英文名: Baicalin
CAS号: 21967-41-9
分子式: C21H18O11
分子量: 446.37
纯度: ≥ 98%
用途: 用于含量测定/鉴定/药理实验等。
提取来源: 本品为双子叶植物唇形科 Labiatae 黄芩 Scutellaria baicalensis Georgi 的干燥根提取而得。
溶解性: 易溶于N,N-二甲基甲酰胺,吡啶中,可溶于碳酸氢钠、碳酸钠、氢氧化钠等碱性溶液中,但在碱液中不稳定,渐变暗棕色,微溶于热冰醋酸,难溶于甲酸、乙酸、丙酮,几乎不溶于水,乙醚、 苯、氯仿等。
药理药效: 具有广谱抗菌作用,还有利胆、抗炎、抗变态反应、解热、解毒、利尿、降压等作用。临床上用于治疗传染性肝炎,对降低肝炎活动期中谷丙转氨酶有较好疗效,还用叶于治疗中风和瘫痪,可降低脑血管阻力,增加脑血流量,提高血脑屏障通透性及对抗由磷酸腺苷引起的血小板凝集作用。
贮存条件: 2-8℃冷藏、干燥、密封、避光
货期: 现货,量大可以定制
包装规格:做我客户我宠你,你说怎么装就怎么装。

产品名称: 红景天苷
中文别名: 红景天甙
英文名: Salidroside
CAS号: 10338-51-9
分子式: C14H20O7
分子量: 300.30
纯度: ≥ 98%
用途: 用于含量测定/鉴定/药理实验等。
提取来源: 景天科植物大花红景天Rhodiola crenulata(Hook.f.et.Thoms.)H.Ohba的干燥根及根茎。
药理药效: 增强免疫力,消除忧郁感,保护心血管。
贮存条件: 2-8℃冷藏、干燥、密封、避光
货期: 现货,量大可以定制
包装规格:做我客户我宠你,你说怎么装就怎么装。